Liso Device

Meet LISO Your new partner in effortless lipid analysis

Request Free Demo

How LISO gets the job done

Add smart probe to your sample - skip if it's already fluorescent

Lean back while LISO handles your temperature-controlled spectroscopy measurement

Use our data visualization tool and discuss your results and turn complexity into clarity

Spectral intensity data across a temperature gradient

Laurdan fluorescence intensity as a function of wavelength and temperature.

Optical Analysis for In-Situ Lipid Characterization

  • LISO specializes in recording temperature-dependent fluorescence spectra
  • Precise in-situ sample temperature probe
  • Exceptional temperature range from -40°C to 90°C
  • LISO provides phase diagrams that reveal reversible and irreversible structural changes

Watch Your Data Unfold in Real Time

  • Emission spectra are instantly processed
  • Watch results of lipid order analysis already during the measurement
  • Track temperature profiles, even at sub-zero temperatures
  • Measurements result in clean, export-ready data for your research
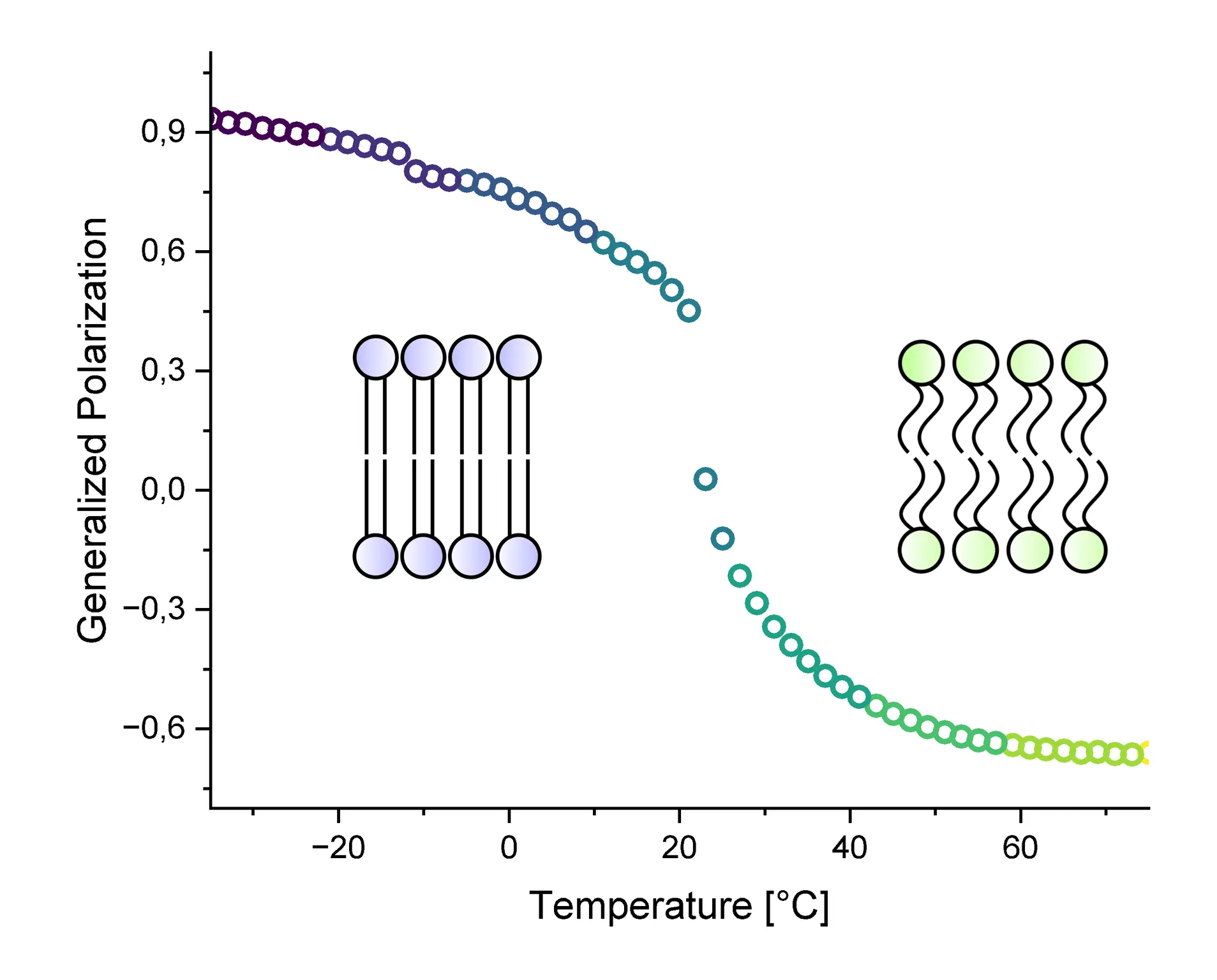
Plot of GP data across a temperature gradient

The Generalized Polarization (GP) as a function of temperature. The drop in GP indicates a structural phase transition from an ordered to a disordered lipid system.

Why you'll love LISO

Frozen Samples

Easy handling without additional cooling

Excitation Wavelength

Customizable to your needs (365 nm for Laurdan lipid analysis)

Emission Spectrum

Covers 390–910 nm for detailed analysis

Sample Volume

260 µL in a standard reaction tube

User-Friendly

Intuitive operation, right from the start

Dynamic Measurement

Optical analysis adapts to your sample concentration

Publications

Find application examples of the LISO technique as part of the following publications:

Broad lipid phase transitions in mammalian cell membranes measured by Laurdan fluorescence spectroscopy

Provides insight into the measurement principle (Fig.1), lipid order analysis of liposomes (Fig.2) and the phase diagrams of different cell lines (Fig.4-6).

Strong Membrane Permeabilization Activity Can Reduce Selectivity of Cyclic Antimicrobial Peptides

Demonstrates how LISO can support the investigation of membrane perturbations induced by lipid-peptide interactions.

Microfluidic Transfection System and Temperature Strongly Influence the Efficiency of Transient Transfection

Shows the LISO phase transition analysis of CHO cells (Fig.4) applied to transfection efficiency optimization.

Die Rolle der Lipidordnung für zelluläre Funktionen

Provides detailled insights into fluorescence-based lipid order analysis and its applicability to differen lipid systems.

LAURDAN since Weber: The Quest for Visualizing Membrane Heterogeneity

Explains how the solvatochromic probe Laurdan works and how it is used.

Our Team

Dr. Nicolas Färber

Dr. Nicolas Färber

Co-Founder & CEO

  • Physicist with an inventor spirit
  • Drives innovation and product strategy
Katharina Beck

Katharina Beck

Co-Founder & CSO

  • Pharmacist passionate about lipid research
  • Ensures customer success and scientific exchange
Thomas Fock

Thomas Fock

Co-Founder & CTO

  • Computer Engineer with an analytical mindset
  • Implements solutions across products and operations

Our Partners and Supporters

Portrait of Prof. Christoph Westerhausen

“We use multiple LISOs daily to monitor membrane phase transitions and organization in vesicles, lipid nanoparticles, and biological cells. We especially value the automated measurements and analysis, along with the wide temperature range allowing measurements in frozen solvent.”

Prof. Christoph Westerhausen, Chair of Physiology at the University of Augsburg

Ready to Transform Your Research?

Contact Information

Get in Touch

Interested in LISO for your research? Contact us for pricing, availability, or to discuss your specific needs.